Deepl.com-Übersetzung: Glykan-reaktive Anti-HIV-1-Antikörper binden das SARS-CoV-2-Spike-Protein, blockieren aber nicht den Eintritt des Virus
https://www.nature.com/articles/s41598-021-91746-7
Zusammenfassung
Das Spike-Glykoprotein von SARS-CoV-2 steht im Mittelpunkt der Entwicklung von Impfstoff-Immunogenen und therapeutischen Antikörpern und dient auch als kritisches Antigen bei der Bewertung von Immunreaktionen auf COVID-19. Ein gemeinsames Merkmal von umhüllten Viren wie SARS-CoV-2 und HIV-1 ist die Neigung, vom Wirt stammende Glykane auf den Eintrittsspike-Proteinen zu zeigen. Ähnlich dargestellte Glykosylierungsmotive können als Grundlage für eine durch Glykoepitope vermittelte Kreuzreaktivität von Antikörpern dienen, was wichtige Auswirkungen auf die Virusneutralisierung, die antikörperabhängige Verstärkung (ADE) der Infektion und die Interpretation von Antikörpertitern in serologischen Tests haben kann. Aus einer Gruppe von neun reaktiven Anti-HIV-1-gp120-Antikörpern haben wir zwei (PGT126 und PGT128) ausgewählt, die eine hohe Kreuzreaktivität mit dem SARS-CoV-2-Spike aufweisen. Wir berichten, dass diese Antikörper nicht in der Lage sind, Pseudoviren zu neutralisieren, die SARS-CoV-2-Spike-Proteine exprimieren, und dass es unwahrscheinlich ist, dass sie ADE über den FcγRII-Rezeptor vermitteln. Dennoch zeigen ELISA- und andere Immunreaktivitätsexperimente, dass diese Antikörper in der Lage sind, den SARS-CoV-2-Spike in einer glykanabhängigen Weise zu binden. Diese Ergebnisse tragen zur wachsenden Literatur über die SARS-CoV-2 S-Kreuzreaktivität bei, da wir zeigen, dass kreuzreaktive Antikörper bei Immunoassays interferieren können.
Einleitung
Die Pandemie der Coronavirus-Krankheit 2019 (COVID-19) hatte verheerende Auswirkungen auf die menschliche Gesundheit und die Wirtschaft. SARS-CoV-2 ist der Erreger von COVID-19 und gehört zur Coronavirus-Familie großer, umhüllter Viren, die für die Erkennung und den Eintritt in die Wirtszelle auf ein trimeres Transmembran-Glykoprotein, das Spike (S), angewiesen sind1. Der SARS-CoV-2-Spike ist ein Transmembranprotein, das aus einer S1-Domäne, die die Rezeptorbindungsdomäne (RBD) der Zelloberfläche enthält, und einer S2-Domäne besteht, die die Region umfasst, die die virale Fusion fördert2,3. Aufgrund seiner Zugänglichkeit auf der viralen Oberfläche und seiner kritischen Rolle im viralen Lebenszyklus ist der SARS-CoV-2-Spike ein entscheidendes Antigen für die Immunantwort des Wirts. Bei der weiteren Untersuchung der Antikörperreaktionen auf Impfungen und COVID-19-Infektionen mit den gängigen serologischen Methoden4,5,6,7,8 ist die Möglichkeit, dass kreuzreaktive Epitope innerhalb von SARS-CoV-2 S die Ergebnisse verfälschen, ein wichtiger Aspekt. Kreuzreaktive Antikörper gegen Viren, die sowohl eng als auch entfernt mit SARS-CoV-2 verwandt sind, können das Spike-Protein mit hoher oder niedriger Affinität binden und das Potenzial zur Neutralisierung des Virus bieten. In der Tat haben mehrere Studien Kreuzreaktivitäten zwischen SARS-CoV-2 S und eng verwandten Coronaviren9,10,11,12 sowie anderen Viren wie dem Dengue-Virus13,14 und HIV15 nachgewiesen. Die Untersuchung solcher kreuzreaktiver Wechselwirkungen kann neue virale Epitope und Schwachstellen aufdecken und einen Kontext für die Interpretation serologischer Teststudien liefern, von denen einige Antikörpertiter nicht als nennenswerter Prädiktor für Immunität, Krankheitsstatus und Krankheitsverlauf bei COVID-1916,17,18,19 erwiesen haben.
Virale Spike-Proteine sind in der Regel mit einer variablen Reihe von vom Wirt stammenden Glykanen besiedelt, die mehrere Funktionen erfüllen, darunter Epitop-Okklusion und Umgehung des Immunsystems20. Solche viralen Glykosylierungsmuster können selbst ausreichend antigen sein, um eine Antikörperreaktion auszulösen, und sogar eine Neutralisierung des Virus bewirken, wenn es gebunden ist. Tatsächlich gibt es mehrere breit neutralisierende Antikörper gegen den HIV-Spike gp120, dessen Epitope kritische Glykankontakte aufweisen21. Der SARS-CoV-2-Spike enthält 22 N-verknüpfte Glykosylierungsstellen, die mit einer Mischung aus Man9GlcNAc2 bis Man5GlcNAc2 N-Glykanen, afucosylierten und fucosylierten Glykanen des Hybridtyps sowie komplexen Glykanen variabel glykosyliert sind22 , was das Potenzial für eine durch Glykoepitope vermittelte Kreuzreaktivität darstellt. In einer kürzlich durchgeführten Studie wurde über die Erkennung des SARS-CoV-2 S-Glykoepitops durch Mannose-gerichtete Fab-dimerisierte Antikörper gegen HIV gp12015 berichtet, was bestätigt, dass eine durch Glykosylierung vermittelte Kreuzreaktivität möglich ist. Wir wollten solche Kreuzreaktivitäten mit einem Panel breit neutralisierender Anti-HIV-Antikörper, die Glykan- und Peptidepitope in gp120 erkennen, weiter untersuchen.
Ergebnisse
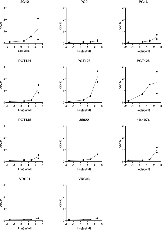
Um das Vorhandensein kreuzreaktiver Glykoepitope innerhalb des SARS-CoV-2-Spikes zu untersuchen, unterzogen wir ein Panel glykanreaktiver Anti-HIV-1-gp120-Antikörper einem ELISA-basierten Kreuzreaktivitätsscreening (Abb. 1). Wir wählten neun Anti-Gp120-Antikörper aus, deren Epitope nachweislich Glykane beinhalten, sowie zwei Anti-Gp120-Antikörper, die die CD4-Bindungsstelle von gp120 erkennen, als Negativkontrollen (Tabelle S1) und untersuchten die Fähigkeit dieser Antikörper, die bis zur Homogenität gereinigte SARS-CoV-2-Spike-Ektodomäne zu binden (Abb. S1a). Während die gegen die CD4-Bindungsstelle gerichteten Antikörper VRC01 und VRC03 nicht in der Lage waren, die SARS-CoV-2-Spike-Ektodomäne zu binden, beobachteten wir bei den meisten der untersuchten glykanreaktiven Antikörper ein unterschiedliches Maß an Kreuzreaktivität, wobei 2G12, PGT128 und PGT126 die stärksten waren (Abb. 1). Wie erwartet zeigte ein positiver Kontrollantikörper VH-FC ab8, der auf die SARS-CoV-2-Rezeptorbindungsdomäne (RBD)23 abzielt, eine starke Bindung der SARS-CoV-2-Spike-Ektodomäne im selben Assay (Abb. S2a). Die Glykan-abhängige Kreuzreaktivität von 2G12 mit dem SARS-CoV-2-Spike wurde kürzlich beschrieben15 , und da 2G12, PGT128 und PGT126 eine ähnliche Kreuzreaktivität aufwiesen, haben wir diese Antikörper für weitere Untersuchungen ausgewählt.
![[image]](https://media.springernature.com/lw685/springer-static/image/art%3A10.1038%2Fs41598-021-91746-7/MediaObjects/41598_2021_91746_Fig1_HTML.png)
ELISA-Screening von Glykan-gerichteten Anti-Gp120-Antikörpern mit Kreuzreaktivität gegenüber SARS-CoV-2 Spike. Serielle Verdünnungen der angegebenen mAbs wurden auf die Bindung von SARS-CoV-2 S-Protein untersucht. VRC01 und VRC03 zielen auf die CD4-Bindungsstelle innerhalb von gp120 und sind hier als Negativkontrollen enthalten. Alle ELISAs wurden mit BSA-basierten Puffern durchgeführt (siehe Methoden). Die Experimente wurden in zweifacher Ausführung durchgeführt, und die Ergebnisse sind als Punkte aufgetragen.
Als Nächstes versuchten wir, die Neutralisierungsfähigkeiten dieser kreuzreaktiven Antikörper mithilfe eines pseudotypisierten SARS-CoV-2 S-Virus-Eintrittstests zu bestimmen24 (Abb. 2). Für 2G12, PGT128 und PGT126 wurden über einen weiten Konzentrationsbereich keine Neutralisierungsfähigkeiten festgestellt, während VH-FC ab8 in Übereinstimmung mit früheren Berichten23 eine starke Neutralisierung zeigte. Da für SARS-CoV-2 eine antikörperabhängige Verstärkung (ADE) der Infektion über die Bindung an zelluläre FcγRII-Rezeptoren beschrieben wurde25 , untersuchten wir das Potenzial für eine antikörpergesteuerte Verstärkung der Infektion (ADE) durch diese Antikörper in der FcγRII-Rezeptor-exprimierenden erythroleukämischen Zelllinie K56226 (Abb. 2c). Wir konnten keine Verstärkung des pseudoviralen Eindringens in K562-Zellen in einem breiten Spektrum von Antikörperkonzentrationen beobachten, was darauf hindeutet, dass diese Antikörper wahrscheinlich keine ADE über den FcγRII-Rezeptor vermitteln.
![[image]](https://media.springernature.com/lw685/springer-static/image/art%3A10.1038%2Fs41598-021-91746-7/MediaObjects/41598_2021_91746_Fig2_HTML.png)
2G12, PGT128 und PGT126 neutralisieren das pseudo-typisierte SARS-CoV-2 S Virus nicht. (a) HEK293-T-Zellen, die ACE-2 stabil überexprimieren, wurden mit SARS-CoV-2 S pseudo-typisierten Viren, die ein Luciferase-Reportergen enthalten, in Anwesenheit von seriellen Verdünnungen der angegebenen Anti-Gp120-Antikörper inkubiert. Die Luciferase-Aktivitäten in Zelllysaten wurden 48 Stunden nach der Infektion bestimmt. (RLU: relative Luziferase-Einheiten). (b) Neutralisierender Antikörper VH-FC ab8, der dem gleichen Test wie unter (a) beschrieben unterzogen wurde. (c) Bewertung des Antikörper-abhängigen Enhancements (ADE) für 2G12, PGT126 und PGT128 auf der Fcγ RII exprimierenden Zelllinie: K562. SARS-CoV-2 S Pseudo-Typ Zelleintrittstests wurden an K562-Zellen wie in (a-c) durchgeführt. Die Experimente wurden in dreifacher Ausführung durchgeführt; die Fehlerbalken geben die Standardabweichung an (n = 3). Die statistische Signifikanz wurde durch eine Zwei-Wege-ANOVA mit Dunnett-Posttest geprüft (P > 0,05 [ns, nicht signifikant], *P ≤ 0,05, **P ≤ 0,01, ***P ≤ 0,001).
Um die Kreuzreaktivität von 2G12, PGT128 und PGT126 mit dem SARS-CoV-2-Spike-Protein weiter zu charakterisieren, haben wir die Immunreaktivität dieser Antikörper mit der SARS-CoV-2-Spike-Ektodomäne mittels Western Blot untersucht (Abb. 3a). Immunreaktivität wurde für 2G12, PGT128 und PGT126 beobachtet, während VRC01-Immunreaktivität nicht nachgewiesen wurde, was mit den Ergebnissen unseres ersten ELISA-Screens übereinstimmt. Um die Spezifität dieser Immunreaktivität abzuschätzen, wurde ein identischer Western Blot mit ungereinigter SARS-CoV-2-Spike-Ektodomäne in Medien unter Verwendung von PGT128 durchgeführt, der einen spezifischen Nachweis ergab (Abb. S3). Als nächstes wollten wir die Fähigkeit dieser Antikörper zur Kreuzreaktion mit SARS-CoV-2-Spike in voller Länge unter nativen Bedingungen untersuchen. Zu diesem Zweck führten wir Immunpräzipitationsexperimente mit Lysat von Zellen durch, die den SARS-CoV-2-Spike in voller Länge transient exprimieren (Abb. 3b). Der SARS-CoV-2-Spike in voller Länge wurde erfolgreich durch 2G12, PGT128 und PGT126 immunpräzipitiert, nicht jedoch durch VRC01, was darauf hindeutet, dass diese kreuzreaktiven Epitope im Spike in voller Länge unter nicht-denaturierenden Bedingungen vorhanden sind. Darüber hinaus konnten wir dosisabhängige Interaktionen zwischen 2G12, PGT128 und PGT126, aber nicht VRC01, und zellassoziierten SARS-CoV-2-Spikes in voller Länge mittels eines zellbasierten ELISA-Tests nachweisen (Abb. 3c), was unsere Ergebnisse der Immunpräzipitation bestätigt.
![[image]](https://media.springernature.com/lw685/springer-static/image/art%3A10.1038%2Fs41598-021-91746-7/MediaObjects/41598_2021_91746_Fig3_HTML.png)
SARS-CoV-2 S-Bindungsfähigkeit ausgewählter kreuzreaktiver Anti-Gp120-Antikörper. (a) Die Immunreaktivität ausgewählter Anti-Gp120-Antikörper mit der SARS-CoV-2 S-Ektodomäne wurde mittels Western Blot untersucht. Die Membranen wurden mit den angegebenen Antikörpern vor dem Nachweis mittels HRP-Antihuman-IgG sondiert. Ein mit Coomassie gefärbtes Gel ist als Ladekontrolle enthalten. Unbeschnittene Gelbilder sind in Abb. S4 in den ergänzenden Informationen zu sehen. (b) Immunpräzipitation (IP) von SARS-CoV-2 S in voller Länge mit ausgewählten anti-gp120-Antikörpern. Lysate von HEK293T-Zellen, die transient SARS-CoV-2 S in voller Länge exprimieren, wurden mit den angegebenen Antikörpern inkubiert und einer Immunpräzipitation mit Protein-A-Perlen unterzogen, bevor eine Western-Blot-Analyse (WB) mit einem kommerziell erhältlichen Antikörper gegen SARS-CoV-2 S erfolgte. Abgebildet ist ein repräsentativer Blot aus 2 unabhängigen Experimenten. Siehe Abb. S5 in den ergänzenden Informationen für nicht beschnittene Gelbilder. (c) Zellbasierter ELISA der zellassoziierten SARS-CoV-2 S-Bindung in voller Länge durch die angegebenen Anti-Gp120-Antikörper. Die Tests wurden an chemisch fixierten HEK293T-Zellen durchgeführt, die entweder mit einem Plasmid, das für SARS-CoV-2 S in voller Länge kodiert, oder mit einem leeren Plasmid (Mock) transfiziert wurden. Der Unterschied im Signal zwischen diesen Bedingungen wird dargestellt. Die Experimente wurden in dreifacher Ausführung durchgeführt; die Fehlerbalken geben die Standardabweichung an (n = 3). Die statistische Signifikanz wurde durch eine Zwei-Wege-ANOVA mit Dunnett-Posttest geprüft (P > 0,05 [ns, nicht signifikant], *P ≤ 0,05, **P ≤ 0,01, ***P ≤ 0,001).
Nachdem wir die Kreuzreaktivitäten von 2G12, PGT128 und PGT126 mit dem SARS-CoV-2-Spike charakterisiert hatten, untersuchten wir den möglichen Beitrag von Glykanen zu diesen Interaktionen. In unseren ersten Kreuzreaktivitäts-Screens hatten wir bei der Verwendung von kaseinbasierten Blockierungspuffern (Abb. S4) im Vergleich zu BSA-basierten Blockierungspuffern (Abb. 1) keine Kreuzreaktivität mehr beobachtet. In Anbetracht des hohen Kohlenhydratgehalts von Kasein27 deutet dies darauf hin, dass diese Wechselwirkungen möglicherweise glykansensitiv sind. Wichtig ist, dass die Wechselwirkungen zwischen VH-FC ab8 und der SARS-CoV-2-Spike-Ektodomäne in kaseinbasierten Puffern nicht gestört wurden (Abb. S2a-b). Wir untersuchten diese kreuzreaktiven Wechselwirkungen zunächst in Gegenwart von Methyl-α-d-mannopyranosid, einem stabilisierten Mannose-Analogon, mittels ELISA (Abb. 4a). Bei allen drei Antikörpern wurde mit zunehmender Konzentration von Methyl-α-d-mannopyranosid eine Unterbrechung der Kreuzreaktivität beobachtet, was die Glykanempfindlichkeit dieser Wechselwirkungen belegt. Erwartungsgemäß zeigte VH-FC ab8 in diesem Assay eine Glykan-unempfindliche Bindung, was mit seinem RBD-Epitop innerhalb des SARS-CoV-2-Spike23 übereinstimmt. Die Zugabe von mikromolaren Mengen von (Man)9(GlcNAc)2 anstelle von molaren Mengen von Methyl-α-d-mannopyranosid führte zu minimalen kompetitiven Effekten für PGT 128 (Abb. S5), was auf einen anderen Modus der Antikörperbindung im Vergleich zu gp120 hindeutet, das unter ähnlichen Bedingungen effektiv kompetitiv war28. Als Nächstes untersuchten wir die Kreuzreaktivität dieser Antikörper mit unterschiedlich glykosylierten SARS-CoV-2-Spike-Präparaten. Wir exprimierten die S-Ektodomäne von SARS-CoV-2 in Zellen, die entweder in Gegenwart oder in Abwesenheit von Kifunensin, einem Mannosidase-Inhibitor, der die Produktion von hochglykosylierten Glykoproteinen mit hohem Mannosegehalt erleichtert, gezüchtet wurden29 (Abb. S1). Die SDS-PAGE-Analyse der gereinigten Proteine ergab, dass die SARS-CoV-2 S-Ektodomäne, die in mit Kifunensin behandelten Zellen produziert wurde, eine geringere elektrophoretische Mobilität aufweist als die Ektodomäne, die in unbehandelten Zellen produziert wurde (Abb. 4b), was mit dem höheren Ausmaß an Glykosylierung übereinstimmt, das bei einer Behandlung mit Kifunensin erwartet wird. Alle drei Antikörper wiesen eine erhöhte relative Affinität und ein höheres Ausmaß der Bindung mit der SARS-CoV-2 S-Ektodomäne auf, die in mit Kifunensin behandelten Zellen produziert wurde, verglichen mit der Ektodomäne, die in unbehandelten Zellen produziert wurde (Abb. 4c,d), was die Beteiligung von Glykanen an diesen kreuzreaktiven Interaktionen weiter unterstreicht. Wie erwartet, blieb VH-FC ab8 unempfindlich gegenüber dem Spike-Glykosylierungszustand (Abb. S2c). Zusammengenommen deuten diese Ergebnisse darauf hin, dass 2G12, PGT128 und PGT126 auf kreuzreaktive Glykoepitope innerhalb des SARS-CoV-2-Spikes abzielen.
![[image]](https://media.springernature.com/lw685/springer-static/image/art%3A10.1038%2Fs41598-021-91746-7/MediaObjects/41598_2021_91746_Fig4_HTML.png)
2G12, PGT128 und PGT126 kreuzreagieren mit dem SARS-CoV-2-Spike in einer glykanabhängigen Weise. (a) Bindung der SARS-CoV-2 S-Ektodomäne durch Anti-Gp120-Antikörper in Gegenwart von Methyl-α-d-mannopyranosid. Die Platten wurden mit der SARS-CoV-2 S-Ektodomäne beschichtet und mit Verdünnungen von Methyl-α-d-mannopyranosid zusammen mit einer konstanten Menge der angegebenen Antikörper inkubiert. Die Antikörperbindung wurde mittels ELISA quantifiziert. (b) SDS-PAGE-Analyse unterschiedlicher Mengen gereinigter SARS-CoV-2 S-Ektodomäne, die in Zellen entweder in Gegenwart oder Abwesenheit von Kifunensin exprimiert wurde. (MW: Molekulargewichtsleiter). Unbeschnittene Gelbilder siehe Abb. S6 in den ergänzenden Informationen. (c-d) ELISA-Analyse der Wechselwirkungen von Anti-gp120-Antikörpern mit der SARS-CoV-2 S-Ektodomäne, die in Zellen entweder in Gegenwart (c) oder in Abwesenheit von Kifunensin (d) exprimiert wird. Die Experimente wurden in dreifacher Ausführung durchgeführt; die Fehlerbalken geben die Standardabweichung an (n = 3). Die statistische Signifikanz wurde durch eine Zwei-Wege-ANOVA mit Dunnett-Posttest geprüft (P > 0,05 [ns, nicht signifikant], *P ≤ 0,05, **P ≤ 0,01, ***P ≤ 0,001).
Diskussion
Wir haben eine Reihe neuartiger kreuzreaktiver Interaktionen zwischen dem SARS-CoV-2-Spike und breit neutralisierenden Anti-HIV-Antikörpern festgestellt. In einer kürzlich durchgeführten Studie15 wurde eine solche Kreuzreaktivität mit Fab-dimerisierten Antikörpern wie 2G12 nachgewiesen, die auf Epitope mit hohem Mannosegehalt bei gp120 abzielen. Hier haben wir diese Ergebnisse auf Anti-HIV-Antikörper ausgeweitet, die gp120 an Epitopen erkennen, die sowohl Peptide als auch Glykane enthalten. Mit einer Kombination aus Immunoblotting, ELISA und Immunpräzipitationsexperimenten konnten wir zeigen, dass PGT128 und PGT126 sowohl Ektodomänen- als auch SARS-CoV-2 S-Konstrukte in voller Länge unter denaturierenden und nativen Bedingungen in einer glykanabhängigen Weise binden. Die Oligosaccharid-Spezifitäten, die für diese Kreuzreaktivität verantwortlich sind, bleiben unklar. Mit Hilfe von pseudo-typisierten viralen Eintrittsassays zeigen wir, dass diese Kreuzreaktivitäten nicht neutralisierend sind und wahrscheinlich nicht in der Lage sind, ADE über FcγRII-Rezeptoraktivität zu vermitteln.
Als Reaktion auf die weltweite COVID-19-Pandemie wurde eine Vielzahl von serologischen SARS-CoV-2-Teststrategien entwickelt4,5,6,7,8, die den Gesundheitsdienstleistern epidemiologische, diagnostische und prognostische Erkenntnisse liefern sollen. Solche Strategien haben sich in erster Linie auf den Nachweis von Antikörpern konzentriert, die die SARS-CoV-2-Spike- oder Nukleokapsid (N)-Proteine binden. Jüngste Studien haben jedoch keinen nennenswerten Vorhersagewert zwischen Antikörpertitern und Virusneutralisierung, Krankheitsstatus und Krankheitsverlauf gezeigt16,17,18,19. Während die gleichzeitige Bewertung von Aspekten der zellulären Immunität in solchen Studien wahrscheinlich zu einem Vorhersagewert beitragen wird, können Bemühungen zur weiteren Charakterisierung humoraler Reaktionen über den serologischen Nachweis antigenbindender Antikörper hinaus einen entscheidenden Kontext für die Interpretation der Ergebnisse liefern. Die Bewertung von aggregierten Antikörpertitern ist nicht in der Lage, zwischen nicht-neutralisierenden Antikörpern mit niedriger Affinität und neutralisierenden Antikörpern mit hoher Affinität zu unterscheiden, was ihren klinischen Nutzen einschränkt. Kreuzreaktive Antikörper können in solchen serologischen Studien störende Auswirkungen haben, und unsere Ergebnisse veranschaulichen diese Möglichkeit, da wir die Fähigkeit niedrig affiner, nicht neutralisierender, kreuzreaktiver Antikörper zur Bindung des SARS-CoV-2-Spikes an antigene Glykoepitope nachweisen konnten. Diese Ergebnisse unterstreichen den potenziellen Wert der Einbeziehung neutralisierender Tests bei der Bewertung der Antikörperreaktionen von Patienten auf SARS-CoV-2 und die Wichtigkeit, sich nicht ausschließlich auf Methoden zu verlassen, die nur Antikörper-Antigen-Interaktionen zur Bewertung humoraler Reaktionen nachweisen.
Experimentelle Verfahren
Zellkultur und DNA-Konstrukte
Expi293-Zellen wurden von Thermo Fisher Scientific (Kat.-Nr. A14527) erworben und in Expi293-Expressionsmedium gemäß den Spezifikationen des Herstellers kultiviert. HEK293T-Zellen (ATCC CRL-3216) waren ein freundliches Geschenk von Dr. Annie Vogel Ciernia. HEK293T-ACE2-Zellen wurden von BEI Resources (NR-52511) bezogen. HEK293T- und HEK293T-ACE2-Zellen wurden bei 37 °C und 5 % CO2 in Dulbecco's Modified Eagle Medium (DMEM) kultiviert, das mit 10 % fötalem Rinderserum (FBS) und 100 U/mL Penicillin/Streptomycin ergänzt wurde. K-562-Zellen wurden von ATTC (CCL-243) erworben und bei 37 °C und 5 % CO2 in RPMI 1640-Medien kultiviert, die mit 10 % FBS und 100 U/mL Penicillin/Streptomycin ergänzt wurden. Das kodon-optimierte SARS-CoV-2 2P S-Protein Ektodomänen-Konstrukt (GenBank: YP_009724390.1) wurde C-terminal mit 8xHis und einem Zwillings-Strep-Tag markiert und in den Säugetier-Expressionsvektor pcDNA 3.1 (Synbio) kloniert. Das SARS-CoV-2 S-Konstrukt in voller Länge, pTwist-EF1alpha-SARS-CoV-2-S-2xStrep-IRES-Puro, war ein Geschenk von Dr. Nevan Krogan.
Antikörper
Alle Anti-gp120-IgG-Antikörper wurden über das NIH AIDS Reagent Program, Division of AIDS, NIAID, NIH bezogen: Anti-HIV-1 gp120 monoklonal (2G12) von Polymun Scientific, Anti-HIV-1 gp120 monoklonal (PG9) von IAVI (Kat. 12.149), Anti-HIV-1 gp120 monoklonal (PG16) von IAVI, Anti-HIV-1 gp120 monoklonal (PGT121) von IAVI (Kat. 12, 343), Anti-HIV-1 gp120 monoklonal (PGT128) von IAVI (Kat.-Nr. 13.352), Anti-HIV-1 gp120 monoklonal (PGT145) von IAVI (Kat.-Nr. 12.703), Kat.-Nr. 12.586 Anti-HIV-1 gp41/gp120 monoklonal (35O22), von Drs. Jinghe Huang und Mark Connors, Anti-HIV-1 gp120 monoklonal (10-1075) von Dr. Michel C. Nussenzweig (Kat. 12.477), Anti-HIV-1 gp120 monoklonal (VRC01), von Dr. John Mascola (Kat. 12.033), Anti-HIV-1 gp120 monoklonal (VRC03), von Dr. John Mascola (Kat. 12.032). VH-Fc ab8 war ein Geschenk von Dr. Dimiter S. Dimitrov.
Proteinexpression und -aufreinigung
Transfektionen wurden wie zuvor beschrieben 30,31 durchgeführt, allerdings mit Änderungen. Zur Expression der SARS-CoV-2 2P S-Ektodomäne wurden Expi293-Zellen in einer Dichte von 3 × 106 Zellen/ml mit linearem Polyethylenimin (PEI) (Polysciences) transfiziert. Zur Behandlung mit Kifunensin wurden die Kulturen 3 Stunden nach der Transfektion mit 5 μM Kifunensin behandelt. 24 Stunden nach der Transfektion wurden die Kulturen mit 2,2 mM Valproinsäure versetzt. Der Überstand wurde nach 5 Tagen durch Zentrifugation abgetrennt, filtriert und auf eine 5-mL-HisTrap-Excel-Säule (Cytiva) gegeben. Die Säule wurde mit Puffer (20 mM Tris pH 8,0, 500 mM NaCl, 20 mM Imidazol) gewaschen und das Protein mit Puffer (20 mM Tris pH 8,0, 500 mM NaCl, 500 mM Imidazol) eluiert. Das gereinigte Protein wurde konzentriert und auf eine Superose 6-Säule (Cytiva) geladen, die mit GF-Puffer (20 mM Tris pH 8,0 und 150 mM NaCl) äquilibriert wurde. Die Peak-Fraktionen wurden gepoolt, konzentriert und tiefgefroren.
Enzymgebundener Immunoassay (ELISA)
100 µl der SARS-CoV-2 2P S-Proteinpräparationen wurden mit 1 µg/ml in PBS über Nacht bei 4 °C auf MaxiSorp-Platten mit 96 Vertiefungen aufgetragen. Alle Waschschritte wurden fünfmal mit PBS + 0,05 % Tween 20 (PBS-T) durchgeführt. Nach dem Waschen wurden die Vertiefungen entweder mit BSA-basiertem Blocking-Puffer (PBS-T + 2 % BSA) oder Casein-basiertem Blocking-Puffer (TBS + 0,05 % Tween 20 + 1 % Casein) für 1 Stunde bei Raumtemperatur inkubiert. Nach dem Waschen wurden die Vertiefungen mit Verdünnungen der primären Antikörper entweder in BSA-basiertem Blocking-Puffer oder in Casein-basiertem Blocking-Puffer 2 Stunden lang bei Raumtemperatur inkubiert. Nach dem Waschen wurden die Vertiefungen mit Ziegen-Anti-Human-IgG (Jackson ImmunoResearch) in einer Verdünnung von 1:10.000 entweder in BSA-basiertem Blocking-Puffer oder Casein-basiertem Blocking-Puffer für 1 Stunde bei Raumtemperatur inkubiert. Nach dem Waschen wurde die Substratlösung (Pierce 1-Step) für die Farbentwicklung gemäß den Angaben des Herstellers verwendet. Die optische Dichte bei 450 nm wurde mit einem Varioskan Lux Plattenlesegerät (Thermo Fisher Scientific) gemessen. Dasselbe Protokoll wurde für Methyl-α-d-mannopyranosid-Wettbewerbstests durchgeführt, wobei die Konzentration der angegebenen primären Antikörper bei 5 µg/ml gehalten und Verdünnungen von Methyl-α-d-mannopyranosid oder (Man)9(GlcNAc)2 (QAbio Kat.: CN-MAN9-10U) wie angegeben hinzugefügt wurden.
Zellbasierter ELISA
HEK293T-Zellen wurden in 96-Well-Platten ausgesät und entweder mit einem Plasmid, das für den SARS-CoV-2-Spike in voller Länge (pLVX-EF1alpha-SARS-CoV-2-S-2xStrep-IRES-Puro) kodiert, oder mit einem Mock-Plasmid (pcDNA3.1) unter Verwendung von branched PEI (Sigma) transfiziert. Das Medium wurde 24 Stunden nach der Transfektion gewechselt. 48 Stunden nach der Transfektion wurden die Zellen fünfmal mit PBS gewaschen, bevor sie 30 Minuten lang bei 4 °C mit 4 % Paraformaldehyd in Medien fixiert wurden. Alle weiteren Waschschritte wurden fünfmal mit PBS + 0,05 % Tween 20 (PBS-T) durchgeführt. Die Zellen wurden vor dem Blockieren in Blocking-Puffer (PBS-T + 2% BSA) für 1 h bei Raumtemperatur gewaschen. Nach dem Waschen wurden die Zellen mit Verdünnungen der primären Antikörper in Blocking-Puffer 2 Stunden lang bei Raumtemperatur inkubiert. Nach dem Waschen wurden die Zellen mit Ziegen-Anti-Human-IgG (Jackson ImmunoResearch) in einer Verdünnung von 1:5.000 in Blocking-Puffer für 1 Stunde bei Raumtemperatur inkubiert. Nach dem Waschen wurde für die Farbentwicklung eine Substratlösung (Pierce 1-Step) gemäß den Angaben des Herstellers verwendet. Die optische Dichte bei 450 nm wurde mit einem Varioskan Lux Plattenlesegerät (Thermo Fisher Scientific) gemessen. Der Unterschied in den Signalen zwischen Zellen, die mit Spike in voller Länge und Mock-Plasmid transfiziert wurden, wurde berechnet.
Western Blotting
Die gereinigte oder ungereinigte 2P-Spike-Ektodomäne von SARS-CoV-2 wurde einer SDS-PAGE unterzogen und auf Nitrocellulosemembranen übertragen, bevor sie in TBS + 0,05 % Tween 20 (TBS-T) + 2 % BSA für 1 Stunde bei Raumtemperatur blockiert wurde. Die Membranen wurden dann mit den angegebenen anti-gp120-Antikörpern in einer Konzentration von 2 µg/ml in TBS-T + 2 % BSA über Nacht bei 4 °C inkubiert. Nach dem Waschen wurden die Membranen mit Ziegen-Anti-Human-IgG (Jackson ImmunoResearch) in einer Verdünnung von 1:5.000 in TBS-T + 2 % BSA für 1 h bei Raumtemperatur inkubiert. Nach dem Waschen wurden die Membranen mit SuperSignal Chemilumineszenzsubstrat (Thermo Fisher Scientific) sichtbar gemacht.
Immunpräzipitationen
Die Immunpräzipitationen wurden mit dem Dynabeads-Immunpräzipitationskit (Invitrogen) durchgeführt. 100 µL Dynabeads wurden mit 10 µg PGT126, PGT128, 2G12, VRC01 oder PBS + 0,05 % Tween 20 (PBS-T) als reine Bead-Kontrolle für 30 Minuten bei Raumtemperatur inkubiert. Zelllysate wurden aus HEK-293 T-Zellen gewonnen, die transient SARS-CoV-2 Spike in voller Länge exprimieren (Transfektion wie für zellbasierte ELISA beschrieben). Die Zellen wurden in eiskalter 20 mM Tris-HCl, pH 7,4, 150 mM NaCl, 1 mM EDTA und 1 % Triton X-100 mit 1 mM PMSF aufgelöst und mit Hilfe von Ultraschall weiter zerkleinert. Die Lysate wurden dann 2 Minuten lang bei 12.000 g zentrifugiert, und der Überstand wurde für die Eingabe der Immunpräzipitation gewonnen. Nach dreimaligem Waschen mit 1 ml PBS-T wurden die Antikörper-Bead-Komplexe mit dem Lysat 1 Stunde lang bei Raumtemperatur auf einer Schaukelplattform inkubiert. Die Beads wurden dreimal mit PBS-T gewaschen, und die gebundenen Proteine wurden direkt in 4 × Laemmli-Puffer mit 10 % Dithiothreitol eluiert und gekocht. Die Proben wurden anschließend einer Western-Blot-Analyse unterzogen und mit einem Anti-SARS-CoV-2-Spike-Glykoprotein-Antikörper (Abcam-ab27504) oder einem Anti-Strep-Tag-Antikörper (Bio-Rad-MCA2489) nachgewiesen.
Pseudovirus-Eintrittsversuche
SARS-CoV-2 S pseudotypisierte retrovirale Partikel wurden in HEK293T-Zellen wie zuvor beschrieben hergestellt24. Kurz gesagt, wurde ein lentivirales Verpackungssystem in Kombination mit Plasmiden verwendet, die für den SARS-CoV-2-Spike in voller Länge kodieren, zusammen mit einem Transferplasmid, das für Luciferase und GFP als duales Reportergen kodiert. Die Pseudoviren wurden 60 Stunden nach der Transfektion geerntet, mit 0,45-µm-PES-Filtern filtriert und eingefroren. Für die Zell-Eintritts- und Neutralisierungs-Assays wurden HEK293T-ACE2-Zellen in 96-Well-Platten mit 50.000 Zellen pro Well ausgesät. Am nächsten Tag wurden die pseudoviralen Präparate mit Verdünnungen der angegebenen Antikörper oder mit Medien allein 1 Stunde lang bei 37 °C inkubiert, bevor sie zu den Zellen gegeben und 48 Stunden lang inkubiert wurden. Anschließend wurden die Zellen lysiert und die Luziferaseaktivität mit dem ONE-Glo™ EX Luciferase Assay System (Promega) gemäß den Angaben des Herstellers gemessen. Der Nachweis der relativen Luziferaseeinheiten erfolgte mit einem Varioskan Lux-Plattenlesegerät (Thermo Fisher Scientific).
Für die ADE-Bewertung wurden menschliche Lymphoblasten K562, die FcγRII exprimieren, anstelle von HEK293-T-Zellen wie oben beschrieben verwendet. ADE wurde durch den Vergleich der relativen Luciferasesignale in Gegenwart der angegebenen kreuzreaktiven Antikörper mit den Signalen in Abwesenheit dieser Antikörper (nur Pseudovirus) bestimmt.
Statistische Analyse
Zur Prüfung auf statistische Signifikanz wurde eine ein- oder zweiseitige Varianzanalyse (ANOVA) mit Dunnett- oder Sidak-Posttest durchgeführt. Nur p-Werte von 0,05 oder weniger wurden als statistisch signifikant angesehen (P > 0,05 [ns, nicht signifikant], *P ≤ 0,05, **P ≤ 0,01, ***P ≤ 0,001). Für alle statistischen Analysen wurde das Softwarepaket GraphPad Prism 8 verwendet (GraphPad Software).